往期阅读
当前版: 06版 上一版  下一版
上一篇    下一篇
放大 缩小 默认   

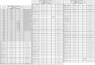
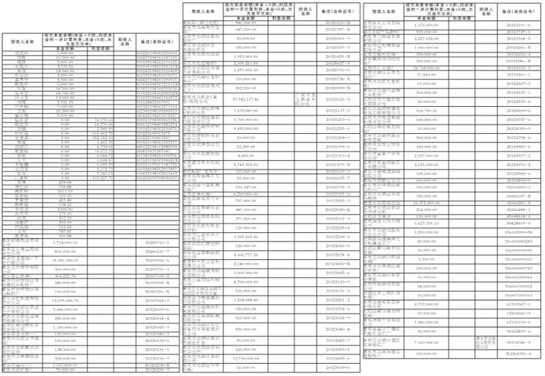
中国农业银行股份有限公司重庆北碚支行送达债务逾期催收及担保人履行责任通知书公告

  各借款人及担保人:

  截至2025年8月31日,下表所列各借款人在我行贷款已到期,借款人未能按期清偿贷款本息,已构成违约。经我行尽职调查及催收,无法向债务人和担保人送达履约通知书,特此公告,请借款人及担保人立即履行还款义务,归还所欠贷款本息(利息还款时据实结算)。具体名单如下:

  公告人:中国农业银行股份有限公司重庆北碚支行

  联系电话:639753542025年9月5日

上一篇    下一篇
 
     标题导航
   第01版:一版要闻
   第02版:致敬胜利
   第03版:最前沿
   第04版:公安专刊
   第05版:公安专刊
   第06版:天平专刊
   第07版:司法行政专刊
   第08版:检察专刊
“十聚焦+二十举措”延伸司法服务
模拟法庭变法治课堂 为青春成长保驾护航
图片新闻
中国农业银行股份有限公司重庆北碚支行送达债务逾期催收及担保人履行责任通知书公告