往期阅读
当前版: 13版 上一版  下一版
上一篇    下一篇
放大 缩小 默认   

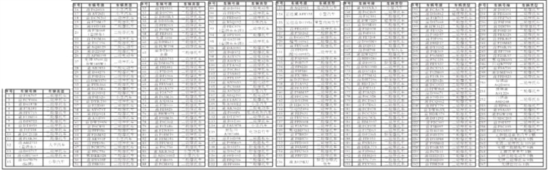
重庆市万州区公安局交通巡逻警察支队公告

万州公交管字【2025】02号

  下列机动车(见附表)因违反中华人民共和国道路交通安全法律、法规的规定,被依法扣留,违法行为人或机动车所有人至今未到公安交通管理部门接受处理,现已超过法定期限。根据《中华人民共和国道路交通安全法》第一百一十二条第三款:“逾期不来接受处理,并且经公告三个月仍不来接受处理的,对扣留的机动车依法处理”之规定,万州区公安局交通巡逻警察支队依法对上述机动车进行公告,对从公告之日起三个月内仍不接受处理的机动车将依法进行处理。

  特此公告

  2025年9月26日

上一篇    下一篇
 
     标题导航
   第01版:一版要闻
   第02版:要闻汇
   第03版:最前沿
   第04版:司法行政专刊
   第05版:司法行政专刊
   第06版:重庆戒毒矫治周刊
   第07版:最前沿
   第08版:最前沿
   第09版:公安专刊
   第10版:公安专刊
   第11版:公安专刊
   第12版:检察专刊
   第13版:天平专刊
   第14版:微服务
   第15版:副刊
   第16版:副刊
被执行人玩起“躲猫猫” 法院果断出击执结3案
联动破僵局巧解工程款纠纷
图片新闻
重庆市万州区公安局交通巡逻警察支队公告
重庆市万州区交通运输委员会公告
重庆市万州区交通运输委员会公告